
氣動O型切斷球閥執行機構與閥用連接軸連接。氣缸內輸入氣壓后,作用于活塞上產生一定的推力, 使齒輪型輸出在活塞推動下,使齒輪輸出軸于旋轉,帶動閥軸轉動,從而使球閥球體在閥內隨著轉動,改變閥的流通面積,達到改變通過閥內介質流量目的。
氣動O型切斷球閥和氣動雙作用執行機構構成。它具有結構簡單、體積小、重 量輕、操作方便等優點,可廣泛地應用于石油、 化工、水電、輕紡等工業生產進程地自動調節和遠程控制中。
氣動O型切斷球閥結構原理:
O形球閥由閥體、球體、閥軸、密封環、填料、壓板等零部件組成。
執行機構由氣、活塞、齒輪型、輸出軸、氣缸蓋、軸承、導向環、活塞軸瓦、調整螺栓、 “O”型圈等主要零部件等構成。
氣動O型切斷球閥使用原理
執行機構與閥用連接軸連接。氣缸內輸入氣壓后,作用于活塞上產生一定的推力, 使齒輪型輸出在活塞推動下,使齒輪輸出軸于旋轉,帶動閥軸轉動,從而使球閥球體在閥內隨著轉動,改變閥的流通面積,達到改變通過閥內介質流量目的。
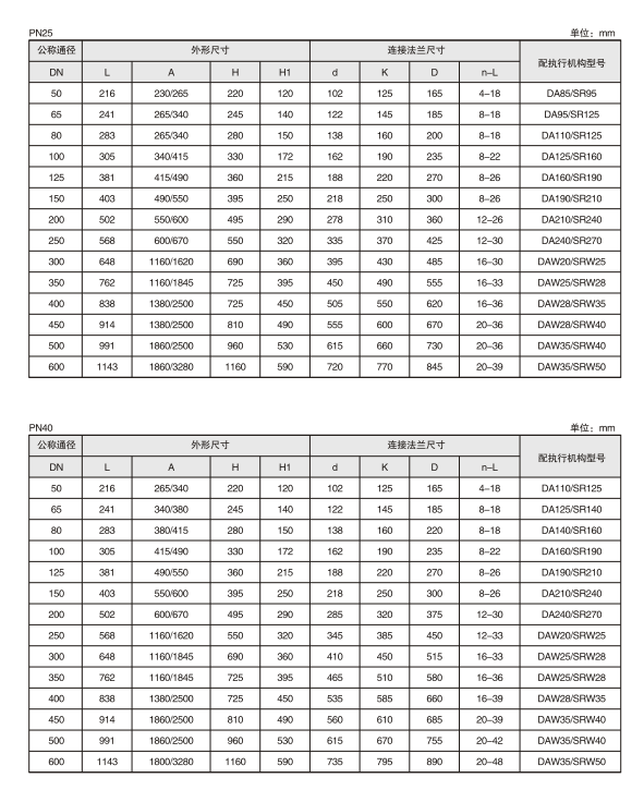
氣動O型切斷球閥技術參數
公稱通徑DN15-DN300
額定流量系數Kv 20-8500
作用方式 雙作用;單作用;氣開式(K);氣關式(B)
公稱壓力PN(Mpa) 1.6-6.4
轉角范圍 0~90。
固有流量特性 快開
工作溫度t(℃) -20~160
氣源壓力Ps(Mpa) 0.3~0.6
法蘭尺寸、型式 PN10、16、40GB9113-88、PN64JB/T79-94,PN10,16凸式 PN40,64凹式或根據用戶要求選配其它標準型式的法蘭(如:ANSI、JIS、DIN等標準)